Introduction to Climate Change - UniTrento 2024/25
2025-05-19
“Acqua.”
“Niederschlag.”
“Quando ero giovane, pura gioia. Adesso solo scocciatura.”
“I don’t know what snow is.”
“Stupore, allegria. In macchina paura. Bello in montagna.”



(Focus here: macroscopic)






\[ SWE = HS * \rho \]
Example: 75cm depth, 300mm SWE
\[ \rho = \frac{300 mm}{75 cm} = \frac{300 \frac{kg}{m^2}}{0.75 m} = 400 \frac{kg}{m^3} \]
| Type | Density |
|---|---|
| Freshly fallen snow | 50-100 |
| Damp new snow | 100-200 |
| Settled snow | 200-300 |
| Wind packed snow | 350-400 |
| Firn | 400-800 |
| Very wet snow | up to 800 |
| Glacier ice | above 800-900 |
-> there is not “the” snow scientist, often a combination







January on average 47 million km² ~
Trento Laste
46.07, 11.12, 312 m.a.s.l.
avg Jan:
Bondone (viote)
46.01, 11.06, 1495 m.a.s.l.
avg Jan:
Sukayu Onsen
40.65, 140.85, 925 m.a.s.l.
avg Jan:

Vostok Station
-78.47, 106.85, 3488 m.a.s.l.
avg Jul:

“Climate is what we expect.
Weather is what we get.”
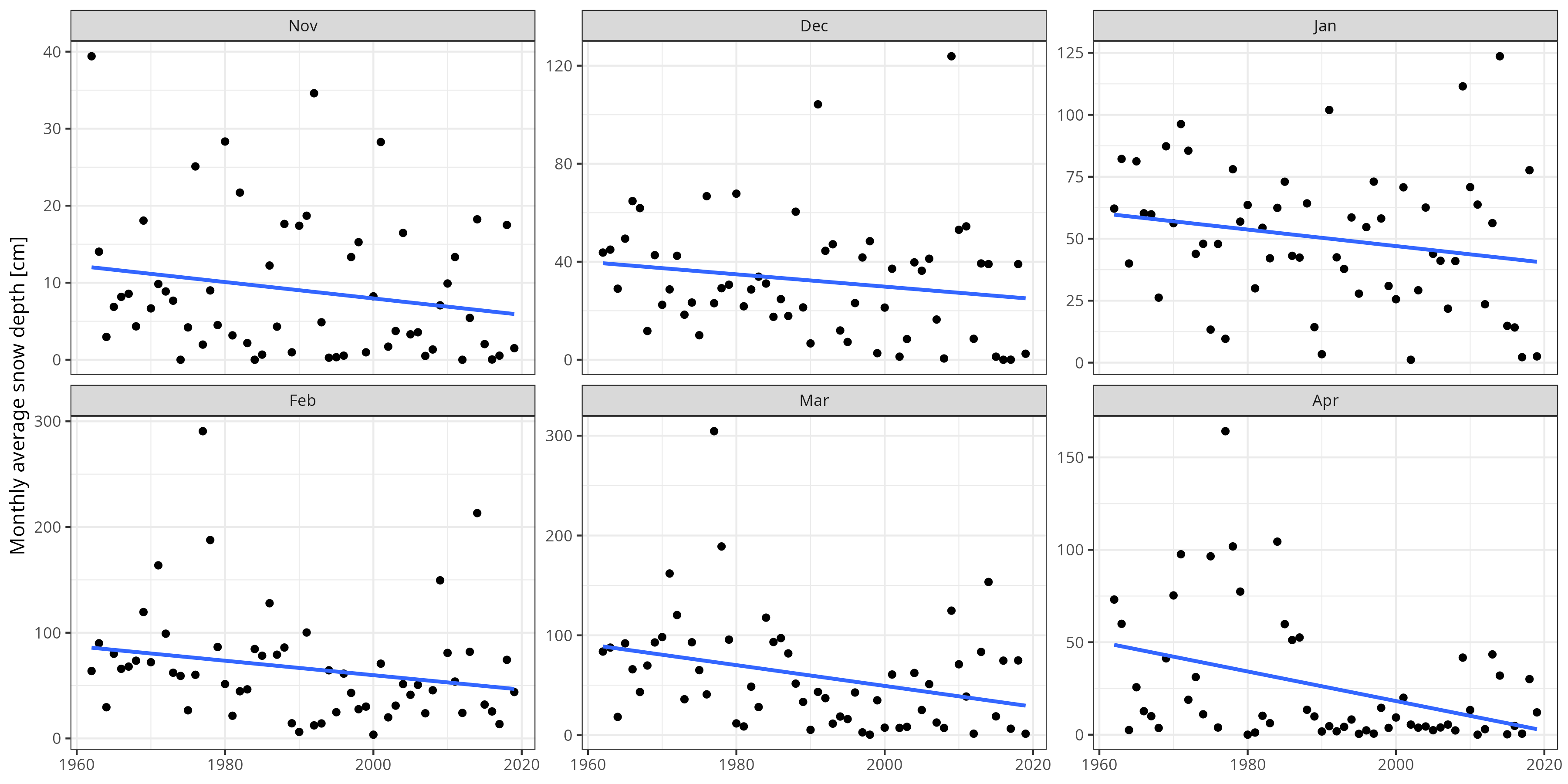
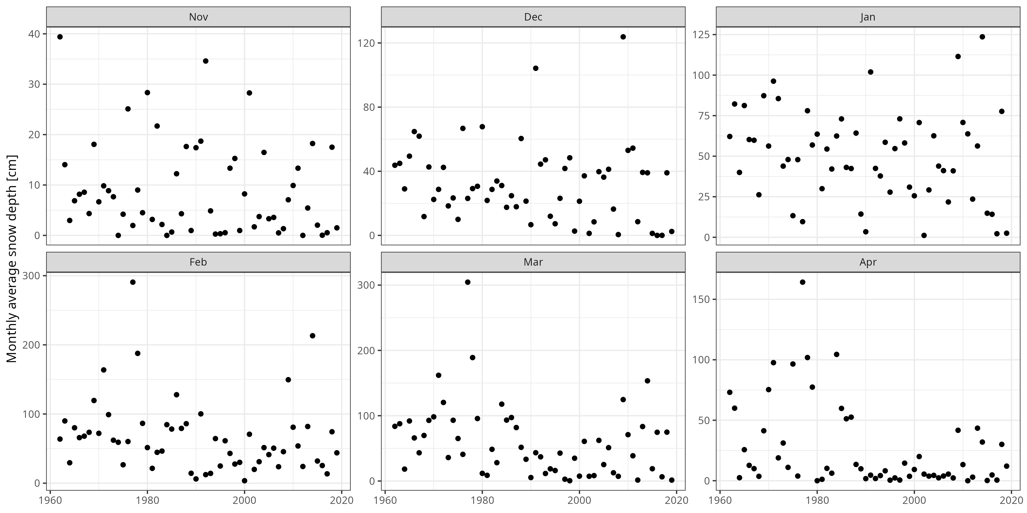
Time series of daily snow depth (> 2000 stations, 30 years)
(below 2000m)
“noi prepareremo pei nostri posteri un materiale ben ordinato e prezioso per istabilire con ottimo fondamento il non facile edifizio della climatologia delle nostre regioni, al quale intendimento sono rivolti i nostri sforzi e tutti i nostri studi”
Denza F., BM 11(1), 1876
Courtesy: Daniele Cat Berro, Società Meteorologica Italiana
Results from statistical analysis: Linear Regression
\[ y_i = \beta_0 + \beta_1 * x_i + \epsilon_i \]
\[ y_i = \beta_0 + \beta_1 * i + \epsilon_i \]
5-year averages
(2018-2022)


What is what?

Prediction:
Scenario
Climate scenarios strategic management
CMIP6, IPCC AR6 2021: Shared Socioeconomic Pathways
Source: Wikipedia and CarbonBrief
-> Combined with radiative forcing in W/m², which can be related to mitigation targets
Source: Wikipedia

Source: mooc.fi
Temperature
Precipitation ?
Together (at least for the Alps):


very little snow, a lot of snow
In the past:
And the future?
https://mitmat.github.io/slides-v2/
Eurac Snow Dossier, CliRSnow project
Thanks to the support of: UniTrento, European Union, Eurac Research, APPA (Provincia Autonoma di Trento), Climate Action South Tyrol, Scientists4Future South Tyrol